Best How Many Bytes Have The First Two And The Last Two Digits Equal To 0 Solution

Cbse Class 8 Rational Numbers Rational Numbers Negative

Cbse Class 8 Rational Numbers Rational Numbers Negative

Mental Maths Partitioning Strategy Mental Math Math

Mental Maths Partitioning Strategy Mental Math Math

Find The Smallest And Second Smallest Elements In An Array

Find The Smallest And Second Smallest Elements In An Array

Merge Two Sorted Arrays Geeksforgeeks

Merge Two Sorted Arrays Geeksforgeeks

Https Edisciplinas Usp Br Mod Resource View Php Id 1647403

Https Edisciplinas Usp Br Mod Resource View Php Id 1647403

Gold Mine Problem Gold Mining Problem Coding

Gold Mine Problem Gold Mining Problem Coding

Gold Mine Problem Gold Mining Problem Coding

9 Mistakes Businesses Make On Social Media Infographic

9 Mistakes Businesses Make On Social Media Infographic

Redcap Umkc Center For Health Insights

Redcap Umkc Center For Health Insights

Java Exercises Print The Sum Multiply Subtract Divide And

Java Exercises Print The Sum Multiply Subtract Divide And

Fast And Efficient Short Read Mapping Based On A Succinct Hash

Fast And Efficient Short Read Mapping Based On A Succinct Hash

Https Www Roguecc Edu Media Mathoerbooks Mth65 Pdf

Https Www Roguecc Edu Media Mathoerbooks Mth65 Pdf

5 R Objects Hands On Programming With R

5 R Objects Hands On Programming With R

In This Ages Stages Poole Miller And Booth Church Discuss How

In This Ages Stages Poole Miller And Booth Church Discuss How

Python Get A String Made Of The First 2 And The Last 2 Chars From

Python Get A String Made Of The First 2 And The Last 2 Chars From

Graphing Quadratic Functions F X Ax 2 Bx C Algebra Worksheet 2

Graphing Quadratic Functions F X Ax 2 Bx C Algebra Worksheet 2

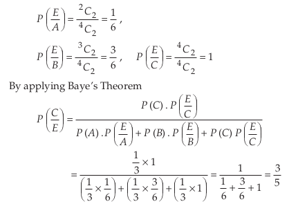
A Bag Contains 4 Balls Two Balls Are Drawn At Random And Are

A Bag Contains 4 Balls Two Balls Are Drawn At Random And Are

Aes S Box How And Why Notes The General Math Review Slides Are

Aes S Box How And Why Notes The General Math Review Slides Are

Top 10 Protein Smoothie Recipes Made With Protein Smoothie

Top 10 Protein Smoothie Recipes Made With Protein Smoothie

Pteranodon Vs Pterodactyl Google Search Wings Ancient

Pteranodon Vs Pterodactyl Google Search Wings Ancient

Program To Add Two Binary Strings Geeksforgeeks

Program To Add Two Binary Strings Geeksforgeeks

Source : pinterest.com